What size compressed air pipe do you need? Pipe sizing for compressed air distribution depends on several factors, including your flow rate (CFM), the length of the pipe runs, the number of turns and fittings used, and the pressure (PSI) requirements for the application. Proper sizing of the compressed air piping is critical for ensuring optimal system performance and minimizing operational costs.
Steps for Calculating Compressed Air Pipe Size
Follow these steps to calculate pipe size for compressed air distribution. Or, make it easy on yourself and contact one of our system designers. We’ll do the calculations for you!
1. Determine Your Airflow Requirements
The first step in determining the correct pipe size is calculating how much airflow (in cubic feet per minute, or CFM) will be running through the pipes. You can determine your compressed air demand by adding up CFM requirements for all air-using processes. Be sure to calculate the peak demand for all processes that could be using air at the same time.
The greater the volume of air that will be moving through the pipes, the larger the pipes will need to be. Even small changes in pipe diameter can significantly affect the flow rate.

2. Calculate Your Total Equivalent Pipe Length
Flow resistance increases as air moves through the distribution system due to friction between air and the walls of the pipe. This phenomenon is known as pressure drop; as flow resistance increases, the system loses pressure (PSI). The longer the pipe run, the more pressure will be lost along the way. Larger diameter pipes are used for longer pipe runs to increase efficiency and reduce pressure drop. The pipe diameter is calculated based on the longest pipe run in your system (the distance between the compressor and the most distant drop) and the number of fittings in the run.
To determine your total pipe length, add up all the straight pipe runs in between the compressor and the most distant drop. Then, add in an equivalent pipe length for each fitting (e.g., tee, elbow, valve) along the way. Bends, valves and fittings slow down the air and contribute to pressure loss. To account for this loss, each type of fitting is given an equivalent pipe length (e.g., a 90° bend in a 1” pipe might have an equivalent pipe length of 0.8 feet). Add the equivalent pipe lengths for each fitting to your straight runs to get the total length.

3. Determine PSI and Allowable Pressure Drop
While flow rate (CFM) is the primary determinant of pipe size, pipe size calculations also factor in your plant pressure (in pounds per square inch, or PSI). Compressed air at higher PSI is denser, meaning the same volume of air (CFM) can travel through a smaller pipe without causing excessive pressure drop. For example, if you increase the system’s pressure from 100 PSI to 150 PSI, you can potentially use smaller pipes to move the same amount of air. However, within the 90-120 PSI range common for most industrial applications, the exact PSI is a secondary consideration.
What does matter in pipe sizing is your tolerance for pressure drop. Compressed air systems are generally sized to maintain a specific PSI at the point of use. Ideally, you want to minimize pressure drop to ensure the efficiency of your system. Most systems aim to limit pressure drop to 0.3 to 0.5 PSI per 100 feet of piping. Tighter pressure tolerances will require larger pipes to maintain PSI to the ends of the runs.
Note: In determining pressure drop for a compressed air distribution system, system layout matters! A loop-style distribution system will reduce pressure drop by about 50% compared to a straight-run piping system of the same equivalent length. This means pipes can be smaller.
4. Calculate the Required Pipe Diameter
Calculating compressed air pipe size is most easily accomplished using a table like the one below. This chart assumes a pressure of 100 PSI with a maximum allowable pressure loss of 4%. Pipe diameters are given in millimeters (mm).

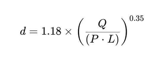
Alternatively, you can use a simplified formula for calculating pipe size, such as:

Where:
- d = pipe diameter (in inches)
- Q = flow rate (in CFM)
- P = pressure (in PSI)
- L = equivalent length of pipe (in feet)
What Happens If Pipes Are Too Small?
When pipes are too small in a compressed air system, several issues can arise that negatively impact performance, efficiency, and operational costs.
-
Increased Pressure Drop: Pressure drop is the primary problem caused by undersized pipes. Smaller pipes have higher friction per unit of airflow (CFM), leading to significant pressure loss over long distances. The higher the pressure drop, the lower the available pressure at the end-use equipment, which can cause tools or machines to underperform or malfunction.
-
Higher Energy Consumption: To compensate for the pressure drop in undersized pipes, operators often increase the system’s overall PSI to maintain performance. This leads to increased compressor run times and higher energy consumption. For every 2% increase in pressure, there is typically a 1% increase in energy costs. Over time, this can result in significantly higher operating costs, especially in energy-intensive systems.
-
Reduced Equipment Efficiency: Compressed air tools and machines have specific pressure and flow rate requirements. Undersized pipes restrict the flow of air, preventing the equipment from receiving the correct volume of air (CFM). This can slow down operations or cause machinery to operate inefficiently, leading to decreased productivity. Inconsistent air supply can also lead to frequent machine stoppages or poor-quality output in processes that rely on precise compressed air, such as painting, packaging or material handling.
-
Increased Wear and Tear on Equipment: When the pipes are too small, the compressor must work harder to overcome the resistance in the piping. This increases the load on the compressor and other components, leading to increased wear and tear. Over time, this extra strain can cause the compressor and associated equipment to fail prematurely, leading to more frequent maintenance and higher repair costs.

What Happens If Pipes Are Too Big?
Oversized compressed air pipes generally do not cause major operational issues. Slight oversizing of compressed air pipes may be desirable in some instances to allow room for future expansion or to minimize pressure loss in environments with tight pressure tolerances. Larger pipes also can act as secondary compressed air storage — though, in general, it is cheaper and more efficient to purchase an air receiver tank rather than rely on pipes for storage. However, there are some downsides to consider.
-
Cost: Larger pipes are more expensive in terms of material costs. For example, a 2-inch diameter pipe can cost significantly more than a 1-inch pipe, and this cost difference becomes even greater for larger pipe sizes. Installation costs also increase as larger pipes are heavier and require more labor, special equipment, or additional support structures for installation.
-
Space: Larger pipes take up more physical space, which can be an issue in facilities where space is limited. Oversized piping can interfere with other systems, making layout planning more complex and potentially leading to inefficient use of available space.
-
Response Time: With larger pipes, the system may take longer to reach the desired operating pressure when starting up or recovering after periods of high demand. This can slow down system response to air pressure changes, potentially affecting operations that rely on quick, consistent air delivery.
Need Help with Pipe Size Calculations?
Proper pipe sizing can have a big impact on overall system efficiency and performance. If you need help determining the ideal pipe diameter for your system, talk to the experts at Unipipe. We can help you design an efficient compressed air distribution system using the best aluminum piping available.
Contact us for assistance or a quote.